有望告别大豆进口依赖!我国新型微生物蛋白获批,餐桌蛋白再添新选择
创始人
2025-12-02 00:06:19
0

未来食品很有可能是实验室种出来的。近日,江南大学陈坚院士团队刘潇副教授课题组使用 CRISPR 基因编辑技术改造了一种名为威尼斯镰刀菌的新型丝状真菌蛋白,成功实现了营养与环保价值提升的双突破,能够有效降低对于进口大豆依赖,助力国家粮食安全。

(来源:Trends in Biotechnology)

据了解,真菌蛋白口感主要取决于加工方式:假如直接利用其菌丝体形态,它能提供类似肉类的咀嚼感,并带有食用真菌特有的、类似蘑菇的风味;假如将其加工成蛋白粉,则口感由其最终应用的食品形态决定。

图 | 刘潇(来源:刘潇)

中国蛋白质需求形势严峻,需降低进口大豆依赖

刘潇告诉 DeepTech,这项研究旨在解决我国在蛋白质供给方面面临的重大挑战。蛋白质是人体至关重要的营养元素,目前主要依赖传统畜禽养殖提供的动物蛋白,以及通过种植大豆、豌豆等作物获得的植物蛋白。

当前,全球蛋白质供给高度依赖传统畜牧业与渔业,这一模式不仅引发严峻的环境问题,还面临资源约束的瓶颈,难以满足人口持续增长和生活水平不断提升对蛋白质供应的巨大需求。

面对食物系统的发展困境,要从传统农作物和畜禽资源向更丰富的生物资源拓展,发展生物科技、生物产业,向植物动物微生物要热量、要蛋白。

刘潇选择以“威尼斯镰刀菌”这种丝状真菌为研究对象,是因为它是全球首个被批准食品化应用的菌丝蛋白。

近年来,我国在微生物蛋白的审批上进展迅速。继 2023 年批准首个微生物源蛋白(由安琪酵母公司牵头申报,使用酿酒酵母 Saccharomyces cerevisiae 菌株生产)后,2025 年初威尼斯镰刀菌蛋白获得我国卫健委新食品原料申请受理,并在近日已正式通过新食品原料认证批文已下达,标志着威尼斯镰刀菌蛋白已获准成为我国的新食品原料,可以真正走上百姓的餐桌。

此次研究聚焦于利用 CRISPR 基因编辑技术改良这种菌株。核心目标有两个:一是追求更高的生产效率,二是提升其营养价值。

目前获批的野生型威尼斯镰刀菌菌株,在工业化规模生产中存在合成效率不足、转化率低的问题,同时其蛋白质的氨基酸组成,尤其是必需氨基酸的含量和消化速率,与传统的动植物蛋白相比仍有差距。

因此,刘潇致力于两个方向的突破:实现底物(如葡萄糖)到蛋白质的高效低成本转化,推动大规模产业化落地,同时显著增强其营养价值。为此,他和团队在威尼斯镰刀菌基因组中无痕敲除了几丁质合酶和丙酮酸脱羧酶基因,并通过多项评估验证了改造可行性。

可持续性,是蛋白质生产必须回答的问题。目前,生产微生物蛋白的主要原料是葡萄糖,而葡萄糖来源于农作物种植。因此,如何更高效、更快速地利用葡萄糖生产蛋白,将直接关联到土地节约、水资源消耗和温室气体减排。

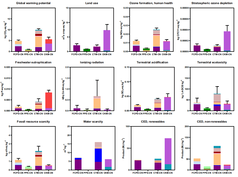
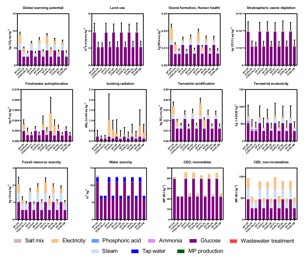
刘潇全面评估了在葡萄糖转化效率提升后对于环境的具体贡献程度。在评估中,他和团队选取了多个代表性国家进行对比,包括美国、英国、荷兰,这是因为这些国家在威尼斯镰刀菌的应用历史和商业化生产方面走在世界前列。

同时,也纳入了波兰等能源结构不同的国家,以及中国本土(例如本次研究中试基地所在的景德镇),并考虑了国内不同地区的能源成本差异,甚至模拟了国内在未来使用更为低碳的能源结构时的生产情景。

通过精确的生命周期评估模型核算,刘潇得出了在不同场景下的真菌蛋白生产的具体环境效益数据。

需要说明的是,目前国内批准的是野生型威尼斯镰刀菌菌株。此次研究采用的基因编辑策略,属于无外源基因引入的“无痕敲除”,而非传统的转基因技术。因此,这类工程菌株在未来的食品法规申报中预计路径会相对更为清晰和可行。

(来源:Trends in Biotechnology)

什么是真菌蛋白?它为什么重要?该如何改造?

你可能没听说过真菌蛋白,但大概率吃过蘑菇。一种在国外已经很常见的真菌蛋白产品就是从一种名为 Fusarium venenatum 的真菌中提取出来的蛋白质。

它看起来、吃起来都十分像肉。这种真菌蛋白已经在很多国家和地区被批准作为食物,比如美国、英国。它的最大特点便是环保,比起养牛和养鸡,生产真菌蛋白所使用的土地要少很多,排放的温室气体也少得多,大约能减少 80% 的碳排放。

但是,刘潇思考的是能否让这种蛋白不仅更有营养而且更节省资源?于是,他才决定使用 CRISPR 精准基因编辑的技术。

研究中,他选中了两个目标基因:第一个是几丁质合成酶,负责制造真菌细胞壁的主要成分;第二个是丙酮酸脱羧酶,能够影响真菌对于底物和能量的利用。他和团队将这两个基因进行无痕敲除,并将这个被改造过的真菌叫做 FCPD。

由于细胞壁变薄,因此胞内蛋白质更容易被释放和被人体吸收。此外,FCPD 蛋白的必需氨基酸指数提高了 32.9%,这意味着它更加符合人体健康需要。

它生产单位质量的真菌蛋白,所使用的葡萄糖减少了 44%。它能把葡萄糖转化成蛋白质的效率提高 2.24 倍,生产速度提高 88.4%。这意味着使用同样的原料,它能更快生产出更多、更好的蛋白。

(来源:Trends in Biotechnology)

旨在高效生产蛋白质本身,而非局限于产肉

由于生产真菌蛋白需要用电、用水、用葡萄糖,如果可以使用更少的原料来生产出更多的蛋白,那么就可以使用更少的土地来种植葡萄糖原料,使用更少的能源来用于发酵,达成更少的废水废气排放。

刘潇使用生命周期评估的方法,来计算生产 1 公斤真菌蛋白对于环境的影响。他和团队比较了普通真菌蛋白和改造后的 FCPD 真菌蛋白,还比较了其他食物比如豌豆蛋白、细胞培养肉和鸡肉等。

结果发现:FCPD 真菌蛋白比普通真菌蛋白可以减少 4%–61.3% 的温室气体排放,它也比细胞培养肉和鸡肉更加环保,在应对地球变暖、土地使用和水资源消耗方面有着更大优势。

(来源:Trends in Biotechnology)

刘潇表示,威尼斯镰刀菌作为一种天然的丝状真菌,其菌丝体本身的结构就类似于动物肉的纤维组织。因此,国际上普遍将其作为人造肉或替代蛋白肉的基础原料。

而镰刀菌的菌丝体作为一种食物来源和蛋白质原料,其形态虽像肉,但目标远不止于制造“肉”,更值得关注的是将其作为基础的蛋白原料进行开发。

在应用端,将其加工成“素肉”仅是其中一个方向。刘潇同样致力于从菌丝体中提取其富含的胞内蛋白来制成蛋白粉。这类蛋白粉在乳化性等功能特性上表现优异,可像乳清蛋白或大豆蛋白一样,被用于饮料等多种食物。

我们日常通过喝豆浆、牛奶,吃肉、鸡蛋、豆腐来获取蛋白质,蛋白食物的形态本身也是多样的。因此,本次研究主要着眼于更根本的“蛋白质供给”问题,而不仅仅是创造一个肉类替代品。所以,本次研究的根本目的是高效生产蛋白质本身,而非局限于产肉。

因此,刘潇和团队之所以着力探索微生物蛋白,首先是响应国家对于蛋白来源多元化的战略需求;其次,它是对现有蛋白质供给的“补充”,而非简单的“替代”。其目标不是教育消费者放弃肉蛋奶,而是致力于挖掘真菌蛋白自身不可替代的独特价值。

目前,他和团队正在寻找能够建立微生物蛋白不可替代性的优势应用场景。当然,这项技术最大的社会价值在于保障国家的粮食安全。此外,在饲料端替代部分豆粕的话,能够降低对进口大豆的高度依赖,有力保障传统动物蛋白的供应链安全。

那么,基因编辑食物安全吗?答案是肯定的,CRISPR 并没有往生物体里引入外源基因,只是像微调一样修改了原有的基因。美国等国家的监管机构认为这类食物是安全的,不需要特别标注。

真菌蛋白的质地和口感都很像肉,目前已经有很多品牌用它来做素鸡块和素汉堡等。眼下,人们还在利用 CRISPR 来改造玉米、大豆和番茄,以让它们更营养和更耐储存。在全球范围内,类似应用 CRISPR 来进行作物和畜禽性状改良的例子还有很多。

刘潇表示:“对真菌蛋白这种新型蛋白质的探索过程本身充满了创新性。与已被研究几十年的传统动植物蛋白不同,这是一个相对前沿的领域。在研究过程中,我们不断揭示出它许多独特的性质,这些特性让我们相信,它在许多高附加值的细分赛道上拥有巨大的应用潜力。”

当然,全球范围内对该领域的探索都处于方兴未艾的状态。但正因如此,通过基因编辑等各种技术手段持续挖掘其潜力、提升其生产效率,并将基础研究的发现与终端应用的需求紧密结合,才能最终推动这类新型蛋白实现其真正的市场价值。

一个非常利好的消息是,威尼斯镰刀菌蛋白已成为中国批准的第二个微生物蛋白来源的三新食品原料。“我们坚信,随着关注者和使用场景的增多,未来几年这个产业必将快速发展,会有更多的加工及营养功能被挖掘,我对它的前景充满信心。”刘潇最后说道。

参考资料:

相关论文 https://www.cell.com/action/showPdf?pii=S0167-7799%2825%2900404-4

运营/排版:何晨龙

相关内容

呼市灯具批发哪个商家好
在呼和浩特市,选择一家优质的灯具批发商对于工程客户、经销商及合作伙...
2025-12-02 02:05:49
2025年运动木地板,柞木...
在全民健身战略持续推进的当下,体育场馆、学校运动场地等基础设施建设...
2025-12-02 02:05:40
2025年武汉OA网络地板...
在2025年的武汉,随着科技的发展和各行业对办公环境要求的提升,O...
2025-12-02 02:05:31
2025年武汉瓷砖,武汉木...
在2025年的武汉,瓷砖市场琳琅满目,消费者在挑选合适的瓷砖时往往...
2025-12-02 02:05:22
沈阳装修难题多,沈阳市奉泉...
装修需求与选择难题 在沈阳,不少业主及家庭面临着装修工程的选择难题...
2025-12-02 02:05:22
2025年杭州阳台装修,阳...
在当下城市生活中,阳台的功能已发生了巨大转变,从过去单纯的杂物堆放...
2025-12-02 02:05:13
两女子参加国考入住酒店凌晨...
11月30日国考笔试,赴河南济源市沁园中学考点参考的考生小缘(化名...
2025-12-02 01:40:33
82岁爱马仕继承人被骗15...
据红星新闻报道,近日,爱马仕第五代继承人尼古拉·皮埃什(Nicol...
2025-12-02 01:40:25
“3女带4孩续面”案面馆老...
近日,极目新闻记者从相关渠道了解到,郑州“3女带4孩续面”案将于1...
2025-12-02 01:40:12

热门资讯

吴士存:要彻底解决南海问题争端... 12月1日,由华阳海洋研究中心、中国海洋发展基金会联合举办的2025年“国际海洋争端解决与国际法研讨...
第二十七届哈尔滨冰雪大世界发布... 人民网哈尔滨12月1日电 (记者张哲鑫)11月30日,“冰雪哈尔滨 全球top1”哈尔滨马迭尔文化旅...
2025年入户门,入户铝门厂家... 在 2025 年,随着人们对家居安全重视程度的不断提高,入户门的安全性成为了消费者关注的重点。尤其是...
2025年门窗,沈阳门窗厂家最... 在建筑行业对节能环保和安全性能要求日益提升的当下,门窗作为建筑外立面的关键组成部分,其品质直接关乎居...
2025年PVC发泡板材设备,... 在塑料加工设备领域,青岛华利德塑料挤出设备有限公司是一家备受瞩目的企业。该公司成立于2016年,坐落...
智能锁是暴利行业吗,智能门锁县... 近几年智能门锁行业发展迅速,从技术的更新换代到品牌的竞争态势都愈发愈烈。在这个数字化时代,智能门锁已...
智能门锁代理哪家好,智能门锁什... 近几年智能门锁行业发展迅速,从技术的更新换代到品牌的竞争态势都愈发愈烈。在这个数字化时代,智能门锁已...
顾家家居(603816)披露召... 截至2025年12月1日收盘,顾家家居(603816)报收于32.38元,较前一交易日上涨2.37%...
翼城县农业农村局调研庭院经济 ... 11月27日,翼城县农业农村局副局长杨奎苍带队深入南梁镇故城村、南北坡村及北常村,实地开展庭院经济开...
2025年庭院门,铝艺庭院门厂... 在2025年,庭院门的选择对于打造独特而实用的庭院空间至关重要。铝艺庭院门凭借其美观、耐用等特点,成...