0.6/1KV聚氯乙烯绝缘电力电缆载流量



以上电缆载流量计算条件:
1. 线芯长期工作温度:70℃;
2. 环境温度:25℃ ;
3. 埋地深度:1000mm;
4. 土壤热阻系数:1.0m.℃/W;
5. 线芯轴间距离:S=2D
1~3芯额定电压0.6/1kv-1.8/3kv电缆载流量表
表中计算值为铜芯载流量。铝芯载流量为铜芯的1/1.29倍
常见铝芯电缆0.6/1kv-1.8/3kv电缆载流量表

YJV、YJY、YJV22额定电压在6/6、6/10kv电缆载流量

YJV、YJV22电压在8.7/10、8.7/15kv电缆载流量表

常见BVVB型、BLVVB型、RVVB型电线载流量

常见BV线载流量

通用橡套软电缆的载流量(450V/750V及以下橡胶绝缘电力电缆YQ、YQW、YHQ、YC、YCW、YHC型号的载流量


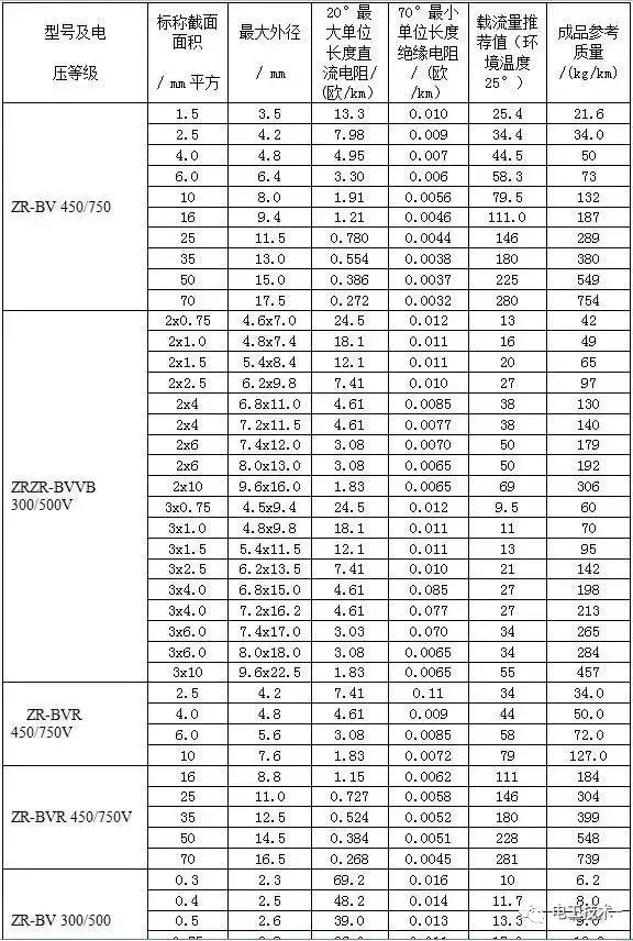
阻燃电线电缆载流量表
常见BV、BVVB、BVR、RVV、RVS系列阻燃电线电缆的载流量:



常见ZR-YJV电力电缆载流量表

高压交联聚氯乙烯绝缘阻燃电力电缆的载流量表

矿物质绝缘电缆载流量表,BTTZ铜芯铜护套氧化镁矿物质绝缘电缆载流量表

(以上数据仅供参考,请结合实际情况选型)